2026-01-07
CMC(l:c)色差公式是分光测色仪中用于色差计算的常用色差公式,该色差公式是在CIELab等色差公式的基础上发展起来的一个色差公式,在纺织行业的色差计算中有着广泛的应用。那么,分光测色仪CMC(l:c)色差公式形式是怎样的?本文对分光测色仪CMC(l:c)色差公式做了简要的介绍。

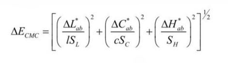
CMC(l:c)色差公式在修正CIELAB色差公式的基础上,根据视觉关系调整了每个色调方向的色差椭圆大小和形状;改善了彩度差变化与明度之间的关系,使不同彩度的颜色具有不同的色差容限。非彩色区域附近的椭圆较小,彩度高的椭圆较大,色差容限与彩度的变化成正比。它引入了明度权重因子l彩度权重因子c,能够解决暗色和中性色区域的色差结果计算与人眼测量结果相差较大的问题,适应不同的色差需求。CMC(l:c)公式定义视觉特性为椭圆,椭圆内部所表示的颜色与标准色在视觉特性上表示一致,椭圆外部所表示的颜色则不一样。用椭圆方程定义的色差公式如下所示:

上式中,△L*、△C*、△H*三个参数分别代表明度差、彩度差和色相差,下标为std的代表标准样本。SL、SC、SH椭圆的半轴,l是明度权重因子,c是彩度权重因子,通过改变l,c因子改变相对椭圆半轴的长度来控制色差范围,对于可接受色差取l=2,c=1。
由于CMC色差公式比CIELAB公式具有更好的视觉一致性,所以对于不同颜色产品的质量控制都可以使用与颜色区域无关的“单一阈值”,从而给颜色测量和色差的仪器评价带来了很大的方便。因此,CMC公式推出以后得到了广泛的应用,许多国家和组织纷纷采用该公式来替代CIELAB公式。1988年,英国采纳其为国家标准BS6923(小色差的计算方法),1989年被美国纺织品染化师协会采纳为AATCC检测方法173-1989,后来经过修改改为AATCC检测方法173-1992,1995年被并入国际标准ISO 105(纺织品-颜色的牢度测量),成为J03部分(小色差计算)。在我国,国际标准GB/T8424.3-2001(纺织品色牢度试验色差计算)和GB/T381016-1999(陶瓷砖实验方法第十六部分:小色差的测定)中也采纳了CMC色差公式。在印刷行业中,现行的国际标准和行业标准依然采用的CIELAB色差公式,部分企业在实际生产中发现了该色差公式的不足之处,在企业标准中开始采用CMC色差公式。
CMC色差公式改进了CIELAB颜色空间的目视均匀性。通过修正CIELAB色差公式,CMC色差公式使各色调方向的色差椭圆大小可根据视觉的关系进行改变,比如在红色区域的椭圆比较瘦长,在绿色区域则比较圆;同时它改善了饱和度差随明度的变化关系,将饱和度不同的颜色赋以不同的色差容限,色差容限随饱和度的增加而变大,反之则减小。
另外,CMC色差公式用单一容差数值就可以裁定色匹配的可接受性,且该容差与标样的颜色无关。用椭球三半轴(CIELAB明度容差ΔL*、彩度容差△C*ab和色调容差ΔH*ab)加权(lXSC、CXSC和SH)导出的色差CMC(l:c)还可以区分不同情况用以解释其三个独立分量:明度分量ΔL*cmc=ΔL*/lxSL,彩度分量ΔC*cmc=△C*ab/CXSC和色调分量Δ*cmc=ΔH*ab/SH。
多角度色差仪的哪个测量角度与人眼测色一致?
2026-04-01
便携式分光测色仪测量虾片颜色管控其颜色品质
2026-03-27
色差仪黄蓝值b/△b值是怎么分析颜色偏差的?
2026-03-25
TS8299台式分光测色仪用于酱油生产过程中的颜色监控
2026-03-20
扫描二维码分享到微信